Заявку на получение дополнительной информации по этому проекту можно заполнить здесь.
|
Номер 68-061-03 |
||||||
|
Наименование проекта Поливинилперимидины как фоточувствительные материалы и способ их получения |
||||||
|
Назначение Получение поливинилперимидинов, пленкообразующих и фоточувствительных в видимой области спектра. |
||||||
|
Рекомендуемая область применения В качестве фоточувствительных материалов для бессеребряной записи информации. |
||||||
|
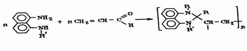
Описание Описание к ИЛ № 68-061-03 Результат научно-исследовательской работы. Согласно изобретению, предлагаются поливинилперимидины общей формулы:
где r - отсутствует, Н; rў= h, c 6h 5; n - c 6h 4ch 3, с молекулярной массой 660-1033. Предлагаемый полимеры получают полимеризацией акролеина и производных перимидина в бензоле при комнатной температуре по следующей схеме:
где r - отсутствует, Н; rў- h, c 6h 5, n - c 6h 4ch 3 Исходные мономеры используются в стехнометрических количествах. Растворы полученных полимеров в бензоле, толуоле при высыхании образуют прозрачные пленки с хорошими механическими и адгезионными свойствами. Кроме того, они имеют температуру размягчения в пределах 70-130 ° С в зависимости от r и rў, что позволяет использовать их в качестве однослойных фототермопластических носителей. В ИК - спектрах полимеров при r или rў= h присутствует полоса поглощения в области 3200 - 3400 см -1. Молекулярные массы полимеров определяются по методу Раста. Предлагаемые полимеры могут найти применение как фоточувствительные материалы. Строение полученных полимеров подтверждено данными элементарного анализа, ИК - спектроскопии. |
||||||
|
Преимущества перед известными аналогами Способ позволяет получить фоточувствительные поливинилперимидины, которые имеют температуру размягчения 70-190 град. С |
||||||
|
Стадия освоения Опробовано в условиях опытной эксплуатации |
||||||
|
Результаты испытаний Технология обеспечивает получение стабильных результатов |
||||||
|
Технико-экономический эффект Добавление сенсибилизатора повышает фоточувствительность материала в 2 раза. |
||||||
|
Возможность передачи за рубеж Возможна передача за рубеж |
||||||
|
Дата поступления материала 08.04.2003 |
У павильонов Уральской выставки «ИННОВАЦИИ 2010» (г. Екатеринбург, 2010 г.)
Мероприятия на выставке "Инновации и инвестиции - 2008" (Югра, 2008 г.)
Открытие выставки "Малый бизнес. Инновации. Инвестиции" (г. Магнитогорск, 2007 г.)
Демонстрация разработок на выставке "Малый бизнес. Инновации. Инвестиции" (г. Магнитогорск, 2007 г.)